Ethyl bromoacetate
![]() | |
![]() | |
| Names | |
|---|---|
| IUPAC name
Ethyl bromoacetate | |
| Other names
Bromoacetic acid, ethyl ester; Antol; Ethoxycarbonylmethyl bromide | |
| Identifiers | |
| 105-36-2 | |
| 3D model (Jmol) | Interactive image |
| ChEMBL | ChEMBL1085948 |
| ChemSpider | 7462 |
| ECHA InfoCard | 100.002.992 |
| PubChem | 7748 |
| RTECS number | AF6000000 |
| UNII | D20KFB313W |
| |
| |
| Properties | |
| C4H7BrO2 | |
| Molar mass | 167.00 g·mol−1 |
| Appearance | Colorless to yellow liquid[1] |
| Density | 1.51 g/cm3 |
| Melting point | −38 °C (−36 °F; 235 K)[1] |
| Boiling point | 158 °C (316 °F; 431 K)[1] |
| Insoluble | |
| Hazards | |
| EU classification (DSD) |
Very toxic (T+), Powerful lachrymator, Extremely harmful, |
| R-phrases | R26/27/28 |
| S-phrases | (S1/2), S7/9, S26, S45 |
| NFPA 704 | |
| Flash point | 47 °C (117 °F; 320 K)[1] |
| Related compounds | |
| Other anions |
Ethyl acetoacetate Ethyl iodoacetate |
| Related esters |
Methyl bromoacetate |
| Related compounds |
Pepper spray Chloropicrin |
| Except where otherwise noted, data are given for materials in their standard state (at 25 °C [77 °F], 100 kPa). | |
| | |
| Infobox references | |
Ethyl 2-bromoacetate is the chemical compound with the formula CH2BrCO2C2H5. It is the ethyl ester of bromoacetic acid and is prepared in two steps from acetic acid.[2] It is a lachrymator and has a fruity, pungent odor.[3] It is also a highly toxic alkylating agent and may be fatal if inhaled.
Applications
In World War I, ethyl bromoacetate was used as a lachrymatory agent and tear gas agent for chemical warfare under the German code Weisskreuz (White Cross), and later as odorant or warning agent in odorless, toxic gases. It is listed by the World Health Organization as a riot control agent, and was first employed for that purpose by French police in 1912.[4] The French may have employed gas grenades of this substance in 1914 during World War I. The German army then used this attack to justify their subsequent employment of chemical weapons in 1915.[5]
In organic synthesis, it is a versatile alkylating agent. Its major application involves the Reformatsky reaction, wherein it reacts with zinc to form a zinc enolate. The resulting BrZnCH2CO2Et condenses with carbonyl compounds to give a β-hydroxy-esters.
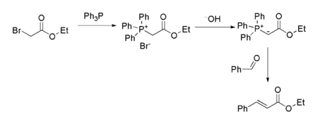
It is also the starting point for the preparation of several other reagents. For example, the related Wittig reagent (prepared by reaction with triphenylphosphine) is commonly used to prepare alpha,beta-unsaturated esters from carbonyl compounds such as benzaldehyde:[6]

References
- 1 2 3 4 Chemicalland properties database
- ↑ Natelson, S.; Gottfried, S. (1955). "Ethyl Bromoacetate". Org. Synth.; Coll. Vol., 3, p. 381
- ↑ Criswell, DW; McClure, FL; Schaefer, R; Brower, KR (1980). "War gases as olfactory probes". Science. 210 (4468): 425–6. doi:10.1126/science.6968976. PMID 6968976.
- ↑ Public health response to biological and chemical weapons, Chapter 3, Biological and Chemical agents, WHO Guidance]
- ↑ Heller, Charles E. (September 1984). "Chemical Warfare in World War I: The American Experience, 1917-1918". Combat Studies Institute. Retrieved 2007-08-02.
- ↑ A student lab procedure for the Wittig sequence shown, only using the related methyl ester.


