Ouabain
![]() | |
| Clinical data | |
|---|---|
| Trade names | Strodival |
| AHFS/Drugs.com | International Drug Names |
| ATC code | C01AC01 (WHO) |
| Identifiers | |
| |
| CAS Number |
630-60-4 |
| PubChem (CID) | 439501 |
| IUPHAR/BPS | 4826 |
| DrugBank |
DB01092 |
| ChemSpider |
388599 |
| UNII |
5ACL011P69 |
| KEGG |
D00112 |
| ChEBI |
CHEBI:472805 |
| ChEMBL |
CHEMBL222863 |
| PDB ligand ID | OBN (PDBe, RCSB PDB) |
| ECHA InfoCard | 100.010.128 |
| Chemical and physical data | |
| Formula | C29H44O12 |
| Molar mass | 584.652 g/mol |
| 3D model (Jmol) | Interactive image |
| |
| |
| (verify) | |

Ouabain /wɑːˈbɑːɪn/[1] or /ˈwɑːbeɪn, ˈwæ-/ (from Somali waabaayo, "arrow poison" through French ouabaïo) also known as g-strophanthin, is a plant derived toxic substance that was traditionally used as an arrow poison in eastern Africa for both hunting and warfare. Ouabain is a cardiac glycoside and in lower doses, can be used medically to treat hypotension and some arrhythmias.
It is classified as an extremely hazardous substance in the United States as defined in Section 302 of the U.S. Emergency Planning and Community Right-to-Know Act (42 U.S.C. 11002), and is subject to strict reporting requirements by facilities which produce, store, or use it in significant quantities.[2]
History
Sources
Ouabain can be found in the roots, stems, leaves, and seeds of the Acokanthera schimperi and Strophanthus gratus plants, both of which are native to eastern Africa.[3]
![]() Acokanthera schimperi plant. |
Strophanthus gratus plant. |
Africa
Poisons derived from Acokanthera plants are known to have been used in Africa as far back as the 3rd century BC when Threophrast reported a toxic substance that the Ethiopians would smear on their arrows.[3] The poisons derived from this genus of plants were used throughout eastern Africa, typically as arrow poisons for hunting and warfare. Acokanthera schimperi, in particular, exhibits a very large amount of ouabain, which the Kenyans, Tanzanians, Rwandans, Ethiopians, and Somali would use as an arrow poison.[3]
The poison was extracted from the branches and leaves of the plant by boiling them over a fire. Arrows would then be dipped into the concentrated black tar-like juice that formed.[3] Often, certain magical additives were also mixed in with the ouabain extract in order to make the poison work according to the hunter's wishes. In Kenya, the Giriama and Langulu poison makers would add an elephant shrew to the poison in order to simplify the pursuit of their prey.[3] They had observed that an elephant shrew would always run straight ahead or follow a direct path and thought that these properties would be transferred to the poison. A poisonous arrow made with this shrew was thought to cause the hunted animal to behave like the shrew and run in a straight path. In Rwanda, the poison makers would harvest the plants according to how many dead insects they found. If the plant was potent, many dead insects would be found around it.
Although ouabain was used as an arrow poison primarily for hunting, it was also used during battle. One example of this occurred during a battle against the Portuguese, who had stormed Mombasa in 1505. Portuguese records indicated that they had suffered a great deal from the poisoned arrows.[3]
Europe
European imperial expansion and exploration into Africa overlapped with the rise of the European pharmaceutical industry towards the end of the nineteenth century.[4] British troops were the target of arrows poisoned with the extracts of various Strophanthus species.[4] They were familiar with the deadly properties of these plants and brought samples back to Europe. Around this time, interest in the plant grew. It was known that ouabain was a cardiac poison, but there was some speculation about its potential medical uses.[3][4]
In 1882, ouabain was first isolated from the plant by the French chemist Léon-Albert Arnaud as an amorphous substance, which he identified as a glycoside.[3] There was some thought that it could be used to treat cardiac conditions.
Mechanism of action
Ouabain is a cardiac glycoside that acts by inhibiting the Na+/K+-ATPase sodium-potassium ion pump.[5] Once ouabain binds to this enzyme, the enzyme ceases to function, leading to an increase of intracellular sodium. This increase in intracellular sodium reduces the activity of the sodium-calcium exchanger (NCX), which pumps one calcium ion out of the cell and three sodium ions into the cell down their concentration gradient. Therefore, the decrease in the concentration gradient of sodium into the cell which occurs when the Na/K-ATPase is inhibited reduces the ability of the NCX to function. This in turn elevates intracellular calcium.[6] This results in higher cardiac contractility and an increase in cardiac vagal tone. The change in ionic gradients caused by ouabain can also affect the membrane voltage of the cell and result in cardiac arrhythmias.
Symptoms
An overdose of ouabain can be detected by the presence of the following symptoms: rapid twitching of the neck and chest musculature, respiratory distress, increased and irregular heartbeat, rise in blood pressure, convulsions, wheezing, clicking, and gasping rattling. Death is caused by cardiac arrest.[3]
Toxicology
Ouabain is a highly toxic compound with a LD50 of 5 mg/kg when administered orally to rodents.[7] However, ouabain has a low bioavailability[5] and is absorbed poorly from the alimentary tract so much of the oral dose gets destroyed. Intravenous administration results in greater available concentrations and has been shown to decrease the LD50 to 2.2 mg/kg, also in rodents.[7] After intravenous administration, the onset of action occurs within 3–10 minutes in humans with the maximum effect enduring for 1.5 hours.
Ouabain is eliminated by renal excretion, largely unchanged.[5]
Biological effects
Endogenous ouabain
In 1991, a sodium pump inhibitor was discovered due to observations of natriuresis in salt loading. The responsible agent was found to be transmitted through plasma.[8] This agent was a Na+/K+-ATPase inhibitor that acted similarly to digitalis. Further observations lead to the conclusion that this circulating molecule was ouabain and that humans were producing it as an endogenous hormone.[8] A large portion of the scientific community agreed that this inhibitor was endogenous ouabain and that there was strong evidence to indicate that it was synthesized in the adrenal gland.[8]
Another interpretation of the analytical data led to the proposal that endogenous ouabain may have been the 11 epimer, i.e., an isomer of plant ouabain.[9] However, this possibility was excluded by the synthesis of the 11 epimer and the demonstration that it has different chromatographic behavior from ouabain.
There is disagreement though on whether or not this endogenous substance actually is ouabain. Research suggests that the immunoassays previously used to quantify the endogenous ouabain detected other compounds as well and this cross reactivity would have produced invalid results.[10] Additionally, the mammalian metabolism of rhamnose, the sugar component of ouabain, is unusual.[10] Another argument against endogenous ouabain was the lack of effect when rostafuroxin, a drug that selectively displaces ouabain from the ATPase receptor, was administered. If ouabain was an endogenous hormone that contributed to hypertension, rostafuroxin would be expected to lower blood pressure. However, when compared to a placebo, rostafuroxin had no effect on systolic or diastolic blood pressure or on urinary sodium.[10]
Medical uses
Ouabain has some medical uses. Small doses of ouabain can be used to treat hypotension and cardiac arrhythmias.[11] In France and Germany, intravenous ouabain has a long history in the treatment of heart failure, and some continue to advocate its use intravenously and per os (orally) in angina pectoris and myocardial infarction. The positive properties of ouabain regarding the prophylaxis and treatment of these two indications are documented by a clutch of studies.[12]
Recently, use of ouabain as a contraceptive has been investigated, showing that it can severely decrease the motility of spermatozoa.[13]
Animal use of ouabain

The African crested rat (Lophiomys imhausi) has a broad, white-bordered strip of hairs covering an area of glandular skin on the flank. When the animal is threatened or excited, the mane on its back erects and this flank strip parts, exposing the glandular area. The hairs in this flank area are highly specialised; at the tips they are like ordinary hairs, but are otherwise spongy, fibrous, and absorbent. The rat is known to deliberately chew the roots and bark of the Poison-arrow tree (Acokanthera schimperi), which contains ouabain. After the rat has chewed the tree, it deliberately slathers the resulting mixture onto its specialised flank hairs which are adapted to rapidly absorb the poisonous mixture, acting like a lamp wick. It thereby creates a defense mechanism that can sicken or even kill predators which attempt to bite it.[14][15][16]
Synthesis
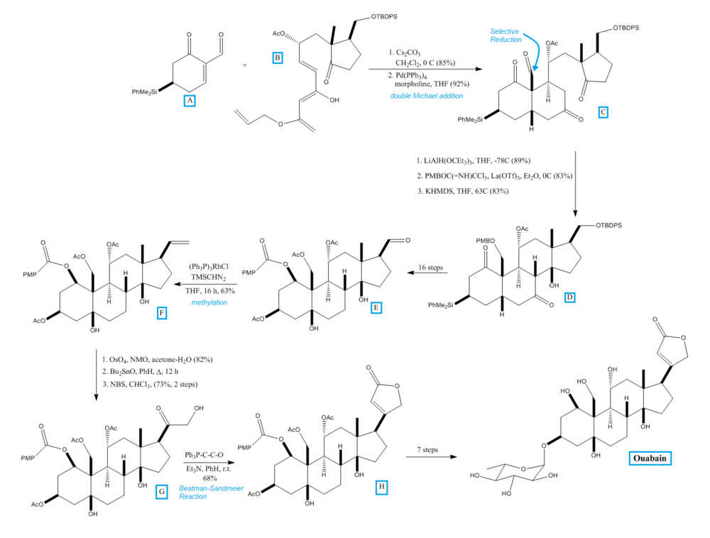
The total synthesis of ouabain was achieved in 2008 by Deslongchamps laboratory in Canada.[17] It was synthesized under the hypothesis that a polyanionic cyclization (double Michael addition followed by aldol condensation) would allow access to a tetracyclic intermediate with the desired functionality.[17] The figure below shows the key steps in the synthesis of ouabain.

In their synthesis, Zhang et al. from the Deslongchamps laboratory condensed cyclohexenone A with Nazarov substitute B in a double Michael addition to produce tricycle C. At the indicated position, C was reduced to the aldehyde and the alcohol group was protected with p-methoxybenzyl ether (PMB) to form the aldol precursor needed to produce D. After several steps, intermediate E was produced. E contained all the required functionalities and stereochemistry needed to produce ouabain. The structure of E was confirmed by comparison against the degradation product of ouabain. Methylation of E, catalyzed by rhodium, produced F. The dehydroxylation and selective oxidation of the secondary hydroxy group of F produced G. G reacted with triphenyl phosphoranylidene ketene and the ester bonds in G were hydrolyzed to produce ouabagenin, a precursor to ouabain. The glycosylation of ouabagenin to add the rhamnose moiety produced ouabain.
See also
References
- ↑ "ouabain" in the World English Dictionary
- ↑ "40 C.F.R.: Appendix A to Part 355—The List of Extremely Hazardous Substances and Their Threshold Planning Quantities" (PDF) (July 1, 2008 ed.). Government Printing Office. Retrieved October 29, 2011.
- 1 2 3 4 5 6 7 8 9 Neuwinger, Hans Dieter. African Ethanobotany: Poisons And Drugs. Weinheim: Chapman & Hall, 1996. Print.
- 1 2 3 Osseo-Asare, A. D. 'Bioprospecting And Resistance: Transforming Poisoned Arrows Into Strophantin Pills In Colonial Gold Coast, 1885-1922'. Social History of Medicine 21.2 (2008): 269-290. Web.
- 1 2 3 Pubchem.ncbi.nlm.nih.gov,. 'Ouabain | C29H44O12 - Pubchem'. N.p., 2015. Web. 8 Apr. 2015.
- ↑ Yu SP, Choi DW (1997). "Na(+)-Ca2+ exchange currents in cortical neurons: concomitant forward and reverse operation and effect of glutamate". The European Journal of Neuroscience. 9 (6): 1273–81. doi:10.1111/j.1460-9568.1997.tb01482.x. PMID 9215711.
- 1 2 Guidechem.com,. 'Ouabain (Cas 630-60-4) Msds'. N.p., 2015. Web. 8 Apr. 2015.
- 1 2 3 Manunta, Paolo et al. 'Endogenous Ouabain In Cardiovascular Function And Disease'. Journal of Hypertension 27.1 (2009): 9-18. Web.
- ↑ Hamlyn JM, Laredo J, Shah JR, Lu ZR, Hamilton BP (2003). "11-Hydroxylation in the Biosynthesis of Endogenous Ouabain: Multiple Implications". Ann N Y Acad Sci. 986: 685–93. doi:10.1111/j.1749-6632.2003.tb07283.x. PMID 12763919.
- 1 2 3 Lewis,. 'Endogenous Ouabain Is Not Ouabain'. Hypertension 64.4 (2014): 680-683. Print.
- ↑ Herbs2000.com,. 'Strophanthus'. N.p., 2015. Web. 8 Apr. 2015.
- ↑ Fürstenwerth H (2010). "Ouabain - The Insulin of the Heart". Int J Clin Pract. 64 (12): 1591–4. doi:10.1111/j.1742-1241.2010.02395.x. PMID 20946265.
- ↑ Clausen MJ, Nissen P, Poulsen H (2011). "The Pumps that Fuel a Sperm's Journey". Biochem Soc Trans. 39 (3): 741–5. doi:10.1042/BST0390741. PMID 21599643.
- ↑ Welsh, J. (2011). "Giant rat kills predators with poisonous hair". LiveScience. Retrieved August 2, 2011.
- ↑ Morelle, R. (2011). "African crested rat uses poison trick to foil predators". BBC.co.uk. Retrieved November 2, 2013.
- ↑ "Rat makes its own poison from toxic tree.". University of Oxford. 2011. Retrieved November 2, 2013.
- 1 2 Zhang, Hongxing et al. 'Total Synthesis Of Ouabagenin And Ouabain'. Angew. Chem. 120.7 (2008): 1292-1295. Web.
- ↑ Deslongchamps, P. et al. 'Synthesis Of Ouabain'. Synfacts 2008.6 (2008): 0562-0562. Web.
External links
- Hamlyn JM. "Ouabainomics". University of Maryland.
- Rudolf RD (1922). "The Use of Circulatory Stimulants in the Care of the Sick" (pdf). Can Med Assoc J. 12 (10): 697–701. PMC 1706809
. PMID 20314209.

