Schotten–Baumann reaction
| Schotten-Baumann reaction | |
|---|---|
| Named after | Carl Schotten Eugen Baumann |
| Reaction type | Condensation reaction |
| Identifiers | |
| Organic Chemistry Portal | schotten-baumann-reaction |
| RSC ontology ID | RXNO:0000165 |
The Schotten–Baumann reaction is a method to synthesise amides from amines and acid chlorides:

Sometimes the name for this reaction is also used to indicate the reaction between an acid chloride and an alcohol to form an ester. The reaction was first described in 1883 by German chemists Carl Schotten and Eugen Baumann.[1][2][3][4]
Reaction mechanism
In the first step an acid chloride reacts with an amine so that an amide is formed, together with a proton and a chloride ion. Addition of a base is required to absorb this acidic proton, or the reaction will not proceed. Often, an aqueous solution of a base is slowly added to the reaction mixture.
The name "Schotten–Baumann reaction conditions" is often used to indicate the use of a two-phase solvent system, consisting of water and an organic solvent. The base within the water phase neutralizes the acid, generated in the reaction, while the starting materials and product remain in the organic phase, often dichloromethane or diethyl ether. The presence of a base prevents the amine reactant from being protonated, which would make it unable to react as a nucleophile.
Applications
The Schotten–Baumann reaction or reaction conditions are widely used today in organic chemistry. Examples include:
- synthesis of N-vanillyl nonanamide, also known as synthetic capsaicin
- synthesis of benzamide from benzoyl chloride and a phenethylamine
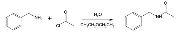
- acylation of a benzylamine with acetyl chloride (acetic anhydride is an alternative)
in the Fischer peptide synthesis (Hermann Emil Fischer, 1903)[5] an α-chloro acid chloride is condensed with the ester of an amino acid. The ester is then hydrolyzed and the acid converted to the acid chloride enabling the extension of the peptide chain by another unit. In a final step the chloride atom is replaced by an amino group completing the peptide synthesis.
See also
References
- ↑ W Pötsch. Lexikon bedeutender Chemiker (VEB Bibliographisches Institut Leipzig, 1989) (ISBN 3-323-00185-0)
- ↑ M B Smith, J March. March's Advanced Organic Chemistry (Wiley, 2001) (ISBN 0-471-58589-0)
- ↑ Schotten, C. (1884). "Ueber die Oxydation des Piperidins". Berichte der deutschen chemischen Gesellschaft. 17: 2544. doi:10.1002/cber.188401702178.
- ↑ Baumann, E. (1886). "Ueber eine einfache Methode der Darstellung von Benzoësäureäthern". Berichte der deutschen chemischen Gesellschaft. 19: 3218. doi:10.1002/cber.188601902348.
- ↑ Emil Fischer (1903). "Synthese von Polypeptiden". Berichte der deutschen chemischen Gesellschaft. 36 (3): 2982–2992. doi:10.1002/cber.19030360356.