State-space representation
In control engineering, a state-space representation is a mathematical model of a physical system as a set of input, output and state variables related by first-order differential equations. "State space" refers to the space whose axes are the state variables. The state of the system can be represented as a vector within that space.
To abstract from the number of inputs, outputs and states, these variables are expressed as vectors. Additionally, if the dynamical system is linear, time-invariant, and finite-dimensional, then the differential and algebraic equations may be written in matrix form.[1][2] The state-space method is characterized by significant algebraization of general system theory, which makes it possible to use Kronecker vector-matrix structures. The capacity of these structures can be efficiently applied to research systems with modulation or without it.[3] The state-space representation (also known as the "time-domain approach") provides a convenient and compact way to model and analyze systems with multiple inputs and outputs. With inputs and outputs, we would otherwise have to write down Laplace transforms to encode all the information about a system. Unlike the frequency domain approach, the use of the state-space representation is not limited to systems with linear components and zero initial conditions.
State variables
The internal state variables are the smallest possible subset of system variables that can represent the entire state of the system at any given time.[4] The minimum number of state variables required to represent a given system, , is usually equal to the order of the system's defining differential equation. If the system is represented in transfer function form, the minimum number of state variables is equal to the order of the transfer function's denominator after it has been reduced to a proper fraction. It is important to understand that converting a state-space realization to a transfer function form may lose some internal information about the system, and may provide a description of a system which is stable, when the state-space realization is unstable at certain points. In electric circuits, the number of state variables is often, though not always, the same as the number of energy storage elements in the circuit such as capacitors and inductors. The state variables defined must be linearly independent, i.e., no state variable can be written as a linear combination of the other state variables or the system will not be able to be solved.
Linear systems

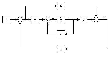
The most general state-space representation of a linear system with inputs, outputs and state variables is written in the following form:[5]
where:
- is called the "state vector", ;
- is called the "output vector", ;
- is called the "input (or control) vector", ;
- is the "state (or system) matrix", ,
- is the "input matrix", ,
- is the "output matrix", ,
- is the "feedthrough (or feedforward) matrix" (in cases where the system model does not have a direct feedthrough, is the zero matrix), ,
- .
In this general formulation, all matrices are allowed to be time-variant (i.e. their elements can depend on time); however, in the common LTI case, matrices will be time invariant. The time variable can be continuous (e.g. ) or discrete (e.g. ). In the latter case, the time variable is usually used instead of . Hybrid systems allow for time domains that have both continuous and discrete parts. Depending on the assumptions taken, the state-space model representation can assume the following forms:
| System type | State-space model |
| Continuous time-invariant | |
| Continuous time-variant | |
| Explicit discrete time-invariant | |
| Explicit discrete time-variant | |
| Laplace domain of continuous time-invariant | |
| Z-domain of discrete time-invariant | |
Example: continuous-time LTI case
Stability and natural response characteristics of a continuous-time LTI system (i.e., linear with matrices that are constant with respect to time) can be studied from the eigenvalues of the matrix A. The stability of a time-invariant state-space model can be determined by looking at the system's transfer function in factored form. It will then look something like this:
The denominator of the transfer function is equal to the characteristic polynomial found by taking the determinant of ,
The roots of this polynomial (the eigenvalues) are the system transfer function's poles (i.e., the singularities where the transfer function's magnitude is unbounded). These poles can be used to analyze whether the system is asymptotically stable or marginally stable. An alternative approach to determining stability, which does not involve calculating eigenvalues, is to analyze the system's Lyapunov stability.
The zeros found in the numerator of can similarly be used to determine whether the system is minimum phase.
The system may still be input–output stable (see BIBO stable) even though it is not internally stable. This may be the case if unstable poles are canceled out by zeros (i.e., if those singularities in the transfer function are removable).
Controllability
State controllability condition implies that it is possible – by admissible inputs – to steer the states from any initial value to any final value within some finite time window. A continuous time-invariant linear state-space model is controllable if and only if
where rank is the number of linearly independent rows in a matrix.
Observability
Observability is a measure for how well internal states of a system can be inferred by knowledge of its external outputs. The observability and controllability of a system are mathematical duals (i.e., as controllability provides that an input is available that brings any initial state to any desired final state, observability provides that knowing an output trajectory provides enough information to predict the initial state of the system).
A continuous time-invariant linear state-space model is observable if and only if
Transfer function
The "transfer function" of a continuous time-invariant linear state-space model can be derived in the following way:
First, taking the Laplace transform of
yields
Next, we simplify for , giving
and thus
Substituting for in the output equation
- giving
The transfer function is defined as the ratio of the output to the input of a system considering its initial conditions to be zero (). However, the ratio of a vector to a vector does not exist, so we consider the following condition satisfied by the transfer function
comparison with the equation for above gives
Clearly must have by dimensionality, and thus has a total of elements. So for every input there are transfer functions with one for each output. This is why the state-space representation can easily be the preferred choice for multiple-input, multiple-output (MIMO) systems. The Rosenbrock system matrix provides a bridge between the state-space representation and its transfer function.
Canonical realizations
Any given transfer function which is strictly proper can easily be transferred into state-space by the following approach (this example is for a 4-dimensional, single-input, single-output system):
Given a transfer function, expand it to reveal all coefficients in both the numerator and denominator. This should result in the following form:
The coefficients can now be inserted directly into the state-space model by the following approach:
This state-space realization is called controllable canonical form because the resulting model is guaranteed to be controllable (i.e., because the control enters a chain of integrators, it has the ability to move every state).
The transfer function coefficients can also be used to construct another type of canonical form
This state-space realization is called observable canonical form because the resulting model is guaranteed to be observable (i.e., because the output exits from a chain of integrators, every state has an effect on the output).
Proper transfer functions
Transfer functions which are only proper (and not strictly proper) can also be realised quite easily. The trick here is to separate the transfer function into two parts: a strictly proper part and a constant.
The strictly proper transfer function can then be transformed into a canonical state-space realization using techniques shown above. The state-space realization of the constant is trivially . Together we then get a state-space realization with matrices A, B and C determined by the strictly proper part, and matrix D determined by the constant.
Here is an example to clear things up a bit:
which yields the following controllable realization
Notice how the output also depends directly on the input. This is due to the constant in the transfer function.
Feedback

A common method for feedback is to multiply the output by a matrix K and setting this as the input to the system: . Since the values of K are unrestricted the values can easily be negated for negative feedback. The presence of a negative sign (the common notation) is merely a notational one and its absence has no impact on the end results.
becomes
solving the output equation for and substituting in the state equation results in
The advantage of this is that the eigenvalues of A can be controlled by setting K appropriately through eigendecomposition of . This assumes that the closed-loop system is controllable or that the unstable eigenvalues of A can be made stable through appropriate choice of K.
Example
For a strictly proper system D equals zero. Another fairly common situation is when all states are outputs, i.e. y = x, which yields C = I, the Identity matrix. This would then result in the simpler equations
This reduces the necessary eigendecomposition to just .
Feedback with setpoint (reference) input

In addition to feedback, an input, , can be added such that .
becomes
solving the output equation for and substituting in the state equation results in
One fairly common simplification to this system is removing D, which reduces the equations to
Moving object example
A classical linear system is that of one-dimensional movement of an object. Newton's laws of motion for an object moving horizontally on a plane and attached to a wall with a spring
where
- is position; is velocity; is acceleration
- is an applied force
- is the viscous friction coefficient
- is the spring constant
- is the mass of the object
The state equation would then become
where
- represents the position of the object
- is the velocity of the object
- is the acceleration of the object
- the output is the position of the object
The controllability test is then
which has full rank for all and .
The observability test is then
which also has full rank. Therefore, this system is both controllable and observable.
Nonlinear systems
The more general form of a state-space model can be written as two functions.
The first is the state equation and the latter is the output equation. If the function is a linear combination of states and inputs then the equations can be written in matrix notation like above. The argument to the functions can be dropped if the system is unforced (i.e., it has no inputs).
Pendulum example
A classic nonlinear system is a simple unforced pendulum
where
- is the angle of the pendulum with respect to the direction of gravity
- is the mass of the pendulum (pendulum rod's mass is assumed to be zero)
- is the gravitational acceleration
- is coefficient of friction at the pivot point
- is the radius of the pendulum (to the center of gravity of the mass )
The state equations are then
where
- is the angle of the pendulum
- is the rotational velocity of the pendulum
- is the rotational acceleration of the pendulum
Instead, the state equation can be written in the general form
The equilibrium/stationary points of a system are when and so the equilibrium points of a pendulum are those that satisfy
for integers n.
See also
- Control engineering
- Control theory
- State observer
- Observability
- Controllability
- Discretization of state-space models
- Phase space for information about phase state (like state space) in physics and mathematics.
- State space for information about state space with discrete states in computer science.
- State space (physics) for information about state space in physics.
- Kalman filter for a statistical application.
References
- ↑ Katalin M. Hangos; R. Lakner & M. Gerzson (2001). Intelligent Control Systems: An Introduction with Examples. Springer. p. 254. ISBN 978-1-4020-0134-5.
- ↑ Katalin M. Hangos; József Bokor & Gábor Szederkényi (2004). Analysis and Control of Nonlinear Process Systems. Springer. p. 25. ISBN 978-1-85233-600-4.
- ↑ Vasilyev A.S.; Ushakov A.V. (2015). "Modeling of dynamic systems with modulation by means of Kronecker vector-matrix representation.". Scientific and Technical Journal of Information Technologies, Mechanics and Optics. 15 (5): 839–848.
- ↑ Nise, Norman S. (2010). Control Systems Engineering (6th ed.). John Wiley & Sons, Inc. ISBN 978-0-470-54756-4.
- ↑ Brogan, William L. (1974). Modern Control Theory (1st ed.). Quantum Publishers, Inc. p. 172.
Further reading
- Antsaklis, P. J.; Michel, A. N. (2007). A Linear Systems Primer. Birkhauser. ISBN 978-0-8176-4460-4.
- Chen, Chi-Tsong (1999). Linear System Theory and Design (3rd ed.). Oxford University Press. ISBN 0-19-511777-8.
- Khalil, Hassan K. (2001). Nonlinear Systems (3rd ed.). Prentice Hall. ISBN 0-13-067389-7.
- Hinrichsen, Diederich; Pritchard, Anthony J. (2005). Mathematical Systems Theory I, Modelling, State Space Analysis, Stability and Robustness. Springer. ISBN 978-3-540-44125-0.
- Sontag, Eduardo D. (1999). Mathematical Control Theory: Deterministic Finite Dimensional Systems (PDF) (2nd ed.). Springer. ISBN 0-387-98489-5. Retrieved June 28, 2012.
- Friedland, Bernard (2005). Control System Design: An Introduction to State-Space Methods. Dover. ISBN 0-486-44278-0.
- Zadeh, Lotfi A.; Desoer, Charles A. (1979). Linear System Theory. Krieger Pub Co. ISBN 978-0-88275-809-1.
- On the applications of state-space models in econometrics
- Durbin, J.; Koopman, S. (2001). Time series analysis by state space methods. Oxford, UK: Oxford University Press. ISBN 978-0-19-852354-3.
External links
- Wolfram language functions for linear state-space models, affine state-space models, and nonlinear state-space models.