Vilsmeier–Haack reaction
| Vilsmeier-Haack reaction | |
|---|---|
| Named after | Anton Vilsmeier Albrecht Haack |
| Reaction type | Substitution reaction |
| Identifiers | |
| Organic Chemistry Portal | vilsmeier-reaction |
| RSC ontology ID | RXNO:0000055 |
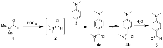
The Vilsmeier–Haack reaction (also called the Vilsmeier reaction) is the chemical reaction of a substituted amide (1) with phosphorus oxychloride and an electron-rich arene (3) to produce an aryl aldehyde or ketone (5). The reaction is named after Anton Vilsmeier and Albrecht Haack.[1][2][3] The reaction of a substituted amide with phosphorus oxychloride gives a substituted chloroiminium ion (2), also called the Vilsmeier reagent. The initial product is an iminium ion (4b), which is hydrolyzed to the corresponding aromatic ketone or aldehyde during workup.

For example, benzanilide and dimethylaniline react with phosphorus oxychloride to produce an unsymmetrical diaryl ketone.[4] Similarly, anthracene can be formylated exclusively at the 9-position.[5] The reaction of anthracene with N-methylformanilide, also using phosphorus oxychloride, is shown below:

Reaction mechanism
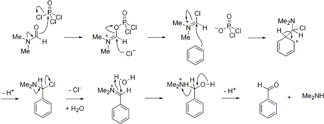
The reaction of the amide with phosphorus oxychloride produces an electrophilic iminium cation. The subsequent electrophilic aromatic substitution produces an iminium ion intermediate, which is hydrolyzed to give the desired aryl ketone or aryl aldehyde.[6]

Modifications
In 2005, Bélanger et al. developed a new Vilsmeier-Haack type cyclization to generate the enaminals of various ring size, with endo- and exo-nitrogen.[7] Diverse tethered nonaromatic π-nucleophiles, such as silyl enol ethers, allylsilanes and enamines, could be chemoselectively added to activated amides. In contrast to the classical reaction conditions employing phosphorus oxychloride, the iminium intermediate was generated using triflic anhydride. The Vilsmeier reagent (2) from N,N-dimethylformamide (1) can be prepared from a wide range of acid chlorides other than phosphorus oxytrichloride, including phosgene, oxalyl chloride, benzoyl chloride, and the like. Z. Arnold (Prague) was a major contributor in this area.
Applications
One recent application of this reaction involved a new synthetic route to tris(4-formylphenyl)amine[8] from triphenylamine which by known procedures resulted in a poor chemical yield of 16%. It was found that this low yield was caused by deactivation of the remaining benzene ring by the imine groups on the other two phenyl groups in the third formylation step. The procedure was modified by taking the reaction to di-imine compound followed by hydrolysis to the di-formyl compound and then (with final position reactivated) a separate formylation to the tri substituted compound.

See also
References
- ↑ Anton Vilsmeier; Haack, A. Ber. 1927, 60, 119.
- ↑ Meth-Cohn, O.; Stanforth, S. P. Comp. Org. Syn. 1991, 2, 777–794. (Review)
- ↑ Formylation of dimethylaniline. Campaigne, E.; Archer, W. L. Org. Syn., Coll. Vol. 4, p.331 (1963); Vol. 33, p.27 (1953). (Article)
- ↑ Vilsmeyer-Haack reaction of benzanilide and dimethylaniline. Hurd, C. D.; Webb. C. N. Org. Syn., Coll. Vol. 1, p.217 (1941); Vol. 7, p.24 (1927). (Article)
- ↑ Formylation of anthracene. Fieser, F. L.; Hartwell, J. L.; Jones, J. E.; Wood, J. H.; Bost, R. W. Org. Syn., Coll. Vol. 3, p.98 (1955); Vol. 20, p.11 (1940). (Article)
- ↑ Jones, G.; Stanforth, S. P. Org. React. 2000, 56, 355. doi:10.1002/0471264180.or056.02
- ↑ Bélanger, G.; Larouche-Gauthier, R.; Ménard, F.; Nantel, M.; Barabé, F. Org. Lett. 2005, 7 (20), 4431. doi:10.1021/ol0516519
- ↑ Practical and Efficient Synthesis of Tris(4-formylphenyl)amine, a Key Building Block in Materials Chemistry Thomas Mallegol, Said Gmouh, Mohamed Aït Amer Meziane, Mireille Blanchard-Desce, Olivier Mongin Synthesis 2005, 1771–1774. (doi:10.1055/s-2005-865336)