Yang–Mills theory
| | Unsolved problem in physics: Yang–Mills theory in the non-perturbative regime:
The equations of Yang–Mills remain unsolved at energy scales relevant for describing atomic nuclei. How does Yang–Mills theory give rise to the physics of nuclei and nuclear constituents? (more unsolved problems in physics) |
| Quantum field theory |
|---|
| History |
|
Incomplete theories |
|
Scientists
|
Yang–Mills theory is a gauge theory based on the SU(N) group, or more generally any compact, semi-simple Lie group. Yang–Mills theory seeks to describe the behavior of elementary particles using these non-Abelian Lie groups and is at the core of the unification of the electromagnetic and weak forces (i.e. U(1) × SU(2)) as well as quantum chromodynamics, the theory of the strong force (based on SU(3)). Thus it forms the basis of our understanding of the Standard Model of particle physics.
History and theoretical description
In a private correspondence, Wolfgang Pauli formulated in 1953 a six-dimensional theory of Einstein's field equations of general relativity, extending the five-dimensional theory of Kaluza, Klein, Fock and others to a higher-dimensional internal space.[1] However, there is no evidence that Pauli developed the Lagrangian of a gauge field or the quantization of it. Because Pauli found that his theory "leads to some rather unphysical shadow particles”, he refrained from publishing his results formally.[1] Although Pauli did not publish his six-dimensional theory, he gave two talks about it in Zürich.[2] Recent research shows that an extended Kaluza–Klein theory is in general not equivalent to Yang–Mills theory, as the former contains additional terms.[3]
In early 1954, Chen Ning Yang and Robert Mills [4] extended the concept of gauge theory for abelian groups, e.g. quantum electrodynamics, to nonabelian groups to provide an explanation for strong interactions. The idea by Yang–Mills was criticized by Pauli,[5] as the quanta of the Yang–Mills field must be massless in order to maintain gauge invariance. The idea was set aside until 1960, when the concept of particles acquiring mass through symmetry breaking in massless theories was put forward, initially by Jeffrey Goldstone, Yoichiro Nambu, and Giovanni Jona-Lasinio.
This prompted a significant restart of Yang–Mills theory studies that proved successful in the formulation of both electroweak unification and quantum chromodynamics (QCD). The electroweak interaction is described by SU(2) × U(1) group while QCD is an SU(3) Yang–Mills theory. The electroweak theory is obtained by combining SU(2) with U(1), where quantum electrodynamics (QED) is described by a U(1) group, and is replaced in the unified electroweak theory by a U(1) group representing a weak hypercharge rather than electric charge. The massless bosons from the SU(2) × U(1) theory mix after spontaneous symmetry breaking to produce the 3 massive weak bosons, and the photon field. The Standard Model combines the strong interaction with the unified electroweak interaction (unifying the weak and electromagnetic interaction) through the symmetry group SU(2) × U(1) × SU(3). In the current epoch the strong interaction is not unified with the electroweak interaction, but from the observed running of the coupling constants it is believed they all converge to a single value at very high energies.
Phenomenology at lower energies in quantum chromodynamics is not completely understood due to the difficulties of managing such a theory with a strong coupling. This may be the reason why confinement has not been theoretically proven, though it is a consistent experimental observation. Proof that QCD confines at low energy is a mathematical problem of great relevance, and an award has been proposed by the Clay Mathematics Institute for whoever is also able to show that the Yang–Mills theory has a mass gap and its existence.
Mathematical overview
Yang–Mills theories are a special example of gauge theory with a non-abelian symmetry group given by the Lagrangian
with the generators of the Lie algebra corresponding to the F-quantities (the curvature or field-strength form) satisfying
and the covariant derivative defined as
where I is the identity for the group generators, is the vector potential, and g is the coupling constant. In four dimensions, the coupling constant g is a pure number and for a SU(N) group one has
The relation
can be derived by the commutator
The field has the property of being self-interacting and equations of motion that one obtains are said to be semilinear, as nonlinearities are both with and without derivatives. This means that one can manage this theory only by perturbation theory, with small nonlinearities.
Note that the transition between "upper" ("contravariant") and "lower" ("covariant") vector or tensor components is trivial for a indices (e.g. ), whereas for μ and ν it is nontrivial, corresponding e.g. to the usual Lorentz signature, .
From the given Lagrangian one can derive the equations of motion given by
Putting , these can be rewritten as
A Bianchi identity holds
which is equivalent to the Jacobi identity
since . Define the dual strength tensor , then the Bianchi identity can be rewritten as
A source enters into the equations of motion as
Note that the currents must properly change under gauge group transformations.
We give here some comments about the physical dimensions of the coupling. We note that, in D dimensions, the field scales as and so the coupling must scale as . This implies that Yang–Mills theory is not renormalizable for dimensions greater than four. Further, we note that, for D = 4, the coupling is dimensionless and both the field and the square of the coupling have the same dimensions of the field and the coupling of a massless quartic scalar field theory. So, these theories share the scale invariance at the classical level.
Quantization of Yang–Mills theory
A method of quantizing the Yang–Mills theory is by functional methods, i.e. path integrals. One introduces a generating functional for n-point functions as
but this integral has no meaning as it is because the potential vector can be arbitrarily chosen due to the gauge freedom. This problem was already known for quantum electrodynamics but here becomes more severe due to non-abelian properties of the gauge group. A way out has been given by Ludvig Faddeev and Victor Popov with the introduction of a ghost field (see Faddeev–Popov ghost) that has the property of being unphysical since, although it agrees with Fermi–Dirac statistics, it is a complex scalar field, which violates the spin-statistics theorem. So, we can write the generating functional as
being
for the field,
for the gauge fixing and
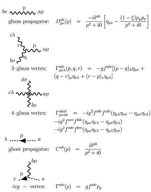
for the ghost. This is the expression commonly used to derive Feynman's rules (see Feynman diagram). Here we have ca for the ghost field while α fixes the gauge's choice for the quantization. Feynman's rules obtained from this functional are the following

These rules for Feynman diagrams can be obtained when the generating functional given above is rewritten as
with
being the generating functional of the free theory. Expanding in g and computing the functional derivatives, we are able to obtain all the n-point functions with perturbation theory. Using LSZ reduction formula we get from the n-point functions the corresponding process amplitudes, cross sections and decay rates. The theory is renormalizable and corrections are finite at any order of perturbation theory.
For quantum electrodynamics the ghost field decouples because the gauge group is abelian. This can be seen from the coupling between the gauge field and the ghost field that is . For the abelian case, all the structure constants are zero and so there is no coupling. In the non-abelian case, the ghost field appears as a useful way to rewrite the quantum field theory without physical consequences on the observables of the theory such as cross sections or decay rates.
One of the most important results obtained for Yang–Mills theory is asymptotic freedom. This result can be obtained by assuming that the coupling constant g is small (so small nonlinearities), as for high energies, and applying perturbation theory. The relevance of this result is due to the fact that a Yang–Mills theory that describes strong interaction and asymptotic freedom permits proper treatment of experimental results coming from deep inelastic scattering.
To obtain the behavior of the Yang–Mills theory at high energies, and so to prove asymptotic freedom, one applies perturbation theory assuming a small coupling. This is verified a posteriori in the ultraviolet limit. In the opposite limit, the infrared limit, the situation is the opposite, as the coupling is too large for perturbation theory to be reliable. Most of the difficulties that research meets is just managing the theory at low energies. That is the interesting case, being inherent to the description of hadronic matter and, more generally, to all the observed bound states of gluons and quarks and their confinement (see hadrons). The most used method to study the theory in this limit is to try to solve it on computers (see lattice gauge theory). In this case, large computational resources are needed to be sure the correct limit of infinite volume (smaller lattice spacing) is obtained. This is the limit the results must be compared with. Smaller spacing and larger coupling are not independent of each other, and larger computational resources are needed for each. As of today, the situation appears somewhat satisfactory for the hadronic spectrum and the computation of the gluon and ghost propagators, but the glueball and hybrids spectra are yet a questioned matter in view of the experimental observation of such exotic states. Indeed, the σ resonance[6][7] is not seen in any of such lattice computations and contrasting interpretations have been put forward. This is a hotly debated issue.
Propagators
In order to understand the behavior of the theory at large and small momenta, a key quantity is the propagator. For a Yang–Mills theory we have to consider both the gluon and the ghost propagators. At large momenta (ultraviolet limit), the question was completely settled with the discovery of the asymptotic freedom.[8][9] In this case it is seen that the theory becomes free (trivial ultraviolet fixed point for renormalization group) and both the gluon and ghost propagators are those of a free massless particle. The asymptotic states of the theory are represented by massless gluons that carry the interaction. The coupling runs to zero as we will see in the next section.
At low momenta (infrared limit) the question has been more involved to settle. The reason is that the theory becomes strongly coupled in this case and perturbation theory cannot be applied. The only reliable approach to get an answer is performing lattice computation on a computer powerful enough to afford large volumes. An answer to this question is a fundamental one as it would provide an understanding to the problem of confinement. On the other side, it should not be forgotten that propagators are gauge-dependent quantities and so, they must be managed carefully when one wants to get meaningful physical results.
On the other side, theoretical approaches were conceived to get an understanding of the theory in this case. Pioneering works were due to Vladimir Gribov and Daniel Zwanziger. Gribov uncovered the question of the gauge-fixing in a Yang–Mills theory: He showed that, even once a gauge is fixed, a freedom is left yet (Gribov ambiguity).[10] Besides, he was able to provide a functional form for the gluon propagator in the Landau gauge
This propagator cannot be correct in this way as it would violate causality. On the other side, it provides a linear rising potential, , that would give reason to quark confinement. An important aspect of this functional form is that the gluon propagator appears to go to zero with momenta. This will become a crucial point in the following. From these studies by Gribov, Zwanziger extended his approach.[11][12] The inescapable conclusion was that the gluon propagator should go to zero with momenta while the ghost propagator should be enhanced with respect to the free case running to infinity.[13][14] This became known in literature as the Gribov-Zwanziger scenario. When this scenario was proposed, computational resources were insufficient to decide whether it was correct or not. Rather, people pursued a different approach using the Dyson-Schwinger equations. This is a set of coupled equations for the n-point functions of the theory forming a hierarchy. This means that the equation for the n-point function will depend on the (n+1)-point function. So, to solve them one needs a proper truncation. On the other side, these equations are non-perturbative and could permit to obtain the behavior of the n-point functions in any regime. A solution to this hierarchy through truncation was proposed by Reinhard Alkofer, Andreas Hauck and Lorenz von Smekal.[15] This paper and the following publications from this group, the German group, set the agenda for the determination of the behavior of the propagators in the Landau gauge in the subsequent years. The main conclusions these authors arrived to were to confirm the Gribov-Zwanziger scenario and that the running coupling should reach a finite non-null fixed point when momenta runs to zero. This paper represents the birth of the so-called scaling solution as the propagators are seen to obey scaling laws with given exponents. A proposal in the eighties by John Cornwall was in contrast with this scenario rather showing that the gluons get massive when momenta goes to zero and the propagator should be finite and non-null there[16] but went ignored at that time because the theoretical evidence appeared overwhelming for the Gribov-Zwanziger scenario. Attempts to solve the Dyson-Schwinger equations numerically seemed to provide a different scenario[17][18] but this could have been due to the way truncation and approximations were applied.
The significant improvement in the computational resources made possible to unveil the proper behavior of the propagators in the Landau gauge. These results where firstly announced in Regensburg at the Lattice 2007 Conference. The results were somewhat unexpected and an example is given in the following figure for the gluon propagator [19]

that was obtained for the SU(2) case with a lattice of points reaching momenta in the very deep infrared. This result from a huge lattice shows that the gluon propagator never goes to zero with momenta but rather reaches a plateau with a finite value at zero momenta. This went called the decoupling solution in literature. Similarly, the ghost propagator is seen to behave as that of a free particle. The ghost field just decouples from the gauge field and becomes free in the deep infrared. Other groups at the same conference confirmed similar results.[20][21]
The decoupling scenario is consistent with a Yukawa-like propagator in the very deep infrared
with a constant. The gluon field develops a mass gap parametrized by in the above formula, while the BRST symmetry appears to be dynamically broken. These results hold in dimensions greater than 2 while for two dimensions the scaling solution holds.[22] Today, this scenario is generally accepted as the correct one for Yang-Mills theories in the infrared limit having such a strong support from lattice computations. Researches are ongoing for a deeper theoretical understanding of these results and eventual phenomenological applications.
Beta function and running coupling
One of the key properties of a quantum field theory is the behavior over all the energy range of the running coupling. Such a behavior can be obtained from a theory once its beta function is known. Our ability to extract results from a quantum field theory relies on perturbation theory. Once the beta function is known, the behavior at all energy scales of the running coupling is obtained through the equation
being . Yang–Mills theory has the property of being asymptotically free in the large energy limit (ultraviolet limit). This means that, in this limit, the beta function has a minus sign driving the behavior of the running coupling toward even smaller values as the energy increases. Perturbation theory permits to evaluate beta function in this limit producing the following result for SU(N)
In the opposite limit of low energies (infrared limit), the beta function is not known. It is note the exact one for a supersymmetric Yang–Mills theory. This has been obtained by Novikov, Shifman, Vainshtein and Zakharov[23] and can be written as
With this starting point, Thomas Ryttov and Francesco Sannino proposed a non-supersymmetric version of it writing down[24]
As can be seen from the beta function of the supersymmetric theory, the limit of a large coupling (infrared limit) implies
and so the running coupling in the deep infrared limit goes to zero making this theory trivial. This implies that the coupling reaches a maximum at some value of the energy turning again to zero as the energy is lowered. Then, if Ryttov and Sannino hypothesis is correct, the same should be true for ordinary Yang–Mills theory. This would be in agreement with recent lattice computations.[25]
Open problems
Yang–Mills theories met with general acceptance in the physics community after Gerard 't Hooft, in 1972, worked out their renormalization, relying on a formulation of the problem worked out by his advisor Martinus Veltman. (Their work[26] was recognized by the 1999 Nobel prize in physics.) Renormalizability is obtained even if the gauge bosons described by this theory are massive, as in the electroweak theory, provided the mass is only an "acquired" one, generated by the Higgs mechanism.
Concerning the mathematics, it should be noted that presently, i.e. in 2016, the Yang–Mills theory is a very active field of research, yielding e.g. invariants of differentiable structures on four-dimensional manifolds via work of Simon Donaldson. Furthermore, the field of Yang–Mills theories was included in the Clay Mathematics Institute's list of "Millennium Prize Problems". Here the prize-problem consists, especially, in a proof of the conjecture that the lowest excitations of a pure Yang–Mills theory (i.e. without matter fields) have a finite mass-gap with regard to the vacuum state. Another open problem, connected with this conjecture, is a proof of the confinement property in the presence of additional Fermion particles.
In physics the survey of Yang–Mills theories does not usually start from perturbation analysis or analytical methods, but more recently from systematic application of numerical methods to lattice gauge theories.
See also
- Aharonov–Bohm effect
- Coulomb gauge
- Electroweak theory
- Gauge covariant derivative
- Kaluza–Klein theory
- Lattice gauge theory
- Lorenz gauge
- N = 4 supersymmetric Yang–Mills theory
- Propagator
- Quantum chromodynamics
- Quantum gauge theory
- Field theoretical formulation of the standard model
- Symmetry in physics
- Weyl gauge
- Yang–Mills existence and mass gap
- Yang–Mills–Higgs equations
References
- 1 2 Straumann, N (2000). "On Pauli's invention of non-abelian Kaluza-Klein Theory in 1953". arXiv:gr-qc/0012054
[gr-qc]. - ↑ See Abraham Pais' account of this period as well as L. Susskind's "Superstrings, Physics World on the first non-abelian gauge theory" where Susskind wrote that Yang–Mills was "rediscovered" only because Pauli had chosen not to publish.
- ↑ Reifler, N (2007). "Conditions for exact equivalence of Kaluza-Klein and Yang–Mills theories". arXiv:0707.3790
[gr-qc]. - ↑ Yang, C. N.; Mills, R. (1954). "Conservation of Isotopic Spin and Isotopic Gauge Invariance". Physical Review. 96 (1): 191–195. Bibcode:1954PhRv...96..191Y. doi:10.1103/PhysRev.96.191.
- ↑ An Anecdote by C. N. Yang
- ↑ Caprini, I.; Colangelo, G.; Leutwyler, H. (2006). "Mass and width of the lowest resonance in QCD". Physical Review Letters. 96 (13): 132001. arXiv:hep-ph/0512364
. Bibcode:2006PhRvL..96m2001C. doi:10.1103/PhysRevLett.96.132001. - ↑ Yndurain, F. J.; Garcia-Martin, R.; Pelaez, J. R. (2007). "Experimental status of the ππ isoscalar S wave at low energy: f0(600) pole and scattering length". Physical Review D. 76 (7): 074034. arXiv:hep-ph/0701025
. Bibcode:2007PhRvD..76g4034G. doi:10.1103/PhysRevD.76.074034. - ↑ D.J. Gross, F. Wilczek (1973). "Ultraviolet behavior of non-abelian gauge theories". Physical Review Letters. 30 (26): 1343–1346. Bibcode:1973PhRvL..30.1343G. doi:10.1103/PhysRevLett.30.1343.
- ↑ H.D. Politzer (1973). "Reliable perturbative results for strong interactions". Physical Review Letters. 30 (26): 1346–1349. Bibcode:1973PhRvL..30.1346P. doi:10.1103/PhysRevLett.30.1346.
- ↑ V.N. Gribov (1978). "Quantization of non-Abelian gauge theories". Nuclear Physics B. 139 (1-2): 1–19. Bibcode:1978NuPhB.139....1G. doi:10.1016/0550-3213(78)90175-X.
- ↑ Daniel Zwanziger (1981). "Covariant quantization of gauge fields without Gribov ambiguity". Nuclear Physics B. 192 (1): 259–269. Bibcode:1981NuPhB.192..259Z. doi:10.1016/0550-3213(81)90202-9.
- ↑ Daniel Zwanziger (1982). "Non-perturbative modification of the Faddeev-Popov formula and banishment of the naive vacuum". Nuclear Physics B. 209 (2): 336–348. Bibcode:1982NuPhB.209..336Z. doi:10.1016/0550-3213(82)90260-7.
- ↑ Daniel Zwanziger (1989). "Local and renormalizable action from the gribov horizon". Nuclear Physics B. 323 (3): 513–544. Bibcode:1989NuPhB.323..513Z. doi:10.1016/0550-3213(89)90122-3.
- ↑ Daniel Zwanziger (1993). "Renormalizability of the critical limit of lattice gauge theory by BRS invariance". Nuclear Physics B. 399 (2): 477–513. Bibcode:1993NuPhB.399..477Z. doi:10.1016/0550-3213(93)90506-K.
- ↑ Reinhard Alkofer, Andreas Hauck, Lorenz von Smekal (1997). "Infrared Behavior of Gluon and Ghost Propagators in Landau Gauge QCD". Physical Review Letters. 79 (19): 3591–3594. arXiv:hep-ph/9705242
. Bibcode:1997PhRvL..79.3591V. doi:10.1103/PhysRevLett.79.3591. - ↑ John Cornwall (1982). "Dynamical mass generation in continuum quantum chromodynamics". Physical Review D. 26 (6): 1453–1478. Bibcode:1982PhRvD..26.1453C. doi:10.1103/PhysRevD.26.1453.
- ↑ A.C. Aguilar, A.A. Natale (2004). "A dynamical gluon mass solution in a coupled system of the Schwinger-Dyson equations". Journal of High Energy Physics (8): 057. arXiv:hep-ph/0408254
. Bibcode:2004JHEP...08..057A. doi:10.1088/1126-6708/2004/08/057. - ↑ Philippe Boucaud, Thorsten Brüntjen, Jean Pierre Leroy, Alain Le Yaouanc, Alexey Lokhov, Jacques Micheli, Olivier Pène, Jose Rodriguez-Quintero (2006). "Is the QCD ghost dressing function finite at zero momentum ?". Journal of High Energy Physics (6): 001. arXiv:hep-ph/0604056
. Bibcode:2006JHEP...06..001B. doi:10.1088/1126-6708/2006/06/001. - ↑ Cucchieri, Attilio; Mendes, Tereza (2007). What’s up with IR gluon and ghost propagators in Landau gauge? A puzzling answer from huge lattices (PDF). Lattice 2007. Trieste: Proceedings of Science. p. 297. arXiv:0710.0412
. Retrieved 2013-11-18. - ↑ Bogolubsky, I.L.; Ilgenfritz, E. M.; Müller-Preussker, M.; Sternbeck, A. (2007). Landau-gauge gluon and ghost propagators in 4D SU(3) gluodynamics on large lattice volumes (PDF). Lattice 2007. Trieste: Proceedings of Science. p. 290. arXiv:0710.1968
. Retrieved 2013-11-18. - ↑ Oliveira, O.; Silva, P.J.; Ilgenfritz, E. M.; Sternbeck, A. (2007). The gluon propagator from large asymmetric lattices (PDF). Lattice 2007. Trieste: Proceedings of Science. p. 323. arXiv:0710.1424
. Retrieved 2013-11-18. - ↑ Markus Huber, Axel Maas, Lorenz von Smekal (2012). "Two- and three-point functions in two-dimensional Landau-gauge Yang-Mills theory: continuum results". Journal of High Energy Physics. 2012: 035. arXiv:1207.0222
. Bibcode:2012JHEP...11..035H. doi:10.1007/JHEP11(2012)035. - ↑ Novikov, V. A.; Shifman, M. A.; A. I. Vainshtein, A. I.; Zakharov, V. I. (1983). "Exact Gell-Mann-Low Function Of Supersymmetric Yang–Mills Theories From Instanton Calculus". Nuclear Physics B. 229 (2): 381–393. Bibcode:1983NuPhB.229..381N. doi:10.1016/0550-3213(83)90338-3.
- ↑ Ryttov, T.; Sannino, F. (2008). "Supersymmetry Inspired QCD Beta Function". Physical Review D. 78 (6): 065001. arXiv:0711.3745
. Bibcode:2008PhRvD..78f5001R. doi:10.1103/PhysRevD.78.065001. - ↑ Bogolubsky, I. L.; Ilgenfritz, E.-M.; A. I. Müller-Preussker, M.; Sternbeck, A. (2009). "Lattice gluodynamics computation of Landau-gauge Green's functions in the deep infrared". Physics Letters B. 676 (1-3): 69–73. arXiv:0901.0736
. Bibcode:2009PhLB..676...69B. doi:10.1016/j.physletb.2009.04.076. - ↑ 't Hooft, G.; Veltman, M. (1972). "Regularization and renormalization of gauge fields". Nuclear Physics B. 44: 189. Bibcode:1972NuPhB..44..189T. doi:10.1016/0550-3213(72)90279-9.
Further reading
- Books
- Frampton, P. (2008). Gauge Field Theories (3rd ed.). Wiley-VCH. ISBN 978-3-527-40835-1.
- Cheng, T.-P.; Li, L.-F. (1983). Gauge Theory of Elementary Particle Physics. Oxford University Press. ISBN 0-19-851961-3.
- 't Hooft, Gerardus (2005). 50 Years of Yang–Mills theory. World Scientific. ISBN 981-238-934-2.
- Articles
- Svetlichny, George (1999). "Preparation for Gauge Theory". arXiv:math-ph/9902027
[math-ph]. - Gross, D. (1992). "Gauge theory – Past, Present and Future" (PDF). Retrieved 2015-05-05.
External links
- Hazewinkel, Michiel, ed. (2001), "Yang-Mills field", Encyclopedia of Mathematics, Springer, ISBN 978-1-55608-010-4
- Yang–Mills theory on DispersiveWiki
- The Clay Mathematics Institute
- The Millennium Prize Problems
