Peptide bond

A peptide bond (amide bond) is a covalent chemical bond linking two consecutive amino acid monomers along a peptide or protein chain.[1][2][3][4][5]
Synthesis


When two amino acids form a dipeptide through a peptide bond it is called condensation. In condensation, two amino acids approach each other, with the acid moiety of one coming near the amino moiety of the other. One loses a hydrogen and oxygen from its carboxyl group (COOH) and the other loses a hydrogen from its amino group (NH2). This reaction produces a molecule of water (H2O) and two amino acids joined by a peptide bond (-CO-NH-). The two joined amino acids are called a dipeptide.
The peptide bond is synthesized when the carboxyl group of one amino acid molecule reacts with the amino group of the other amino acid molecule, causing the release of a molecule of water (H2O), hence the process is a dehydration synthesis reaction (also known as a condensation reaction).
The formation of the peptide bond consumes energy, which, in living systems, is derived from ATP.[6] Polypeptides and proteins are chains of amino acids held together by peptide bonds. Living organisms employ enzymes to produce polypeptides, and ribosomes to produce proteins. Peptides are synthesized by specific enzymes. For example, the tripeptide glutathione is synthesized in two steps from free amino acids, by two enzymes: gamma-glutamylcysteine synthetase and glutathione synthetase.[7][8]

Degradation
A peptide bond can be broken by hydrolysis (the addition of water). In the presence of water they will break down and release 8–16 kilojoule/mol (2–4 kcal/mol)[9] of free energy. This process is extremely slow.
In living organisms, the process is catalyzed by enzymes known as peptidases or proteases.
Spectra
The wavelength of absorption for a peptide bond is 190–230 nm[10] (which makes it particularly susceptible to UV radiation).

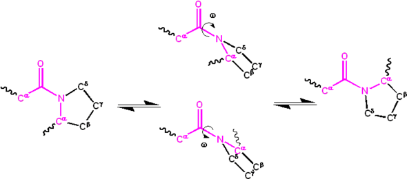
Cis/trans isomers of the peptide group
Significant delocalisation of the lone pair of electrons on the nitrogen atom gives the group a partial double bond character. The partial double bond renders the amide group planar, occurring in either the cis or trans isomers. In the unfolded state of proteins, the peptide groups are free to isomerize and adopt both isomers; however, in the folded state, only a single isomer is adopted at each position (with rare exceptions). The trans form is preferred overwhelmingly in most peptide bonds (roughly 1000:1 ratio in trans:cis populations). However, X-Pro peptide groups tend to have a roughly 3:1 ratio, presumably because the symmetry between the and atoms of proline makes the cis and trans isomers nearly equal in energy (See figure, below).

The dihedral angle associated with the peptide group (defined by the four atoms ) is denoted ; for the cis isomer (synperiplanar conformation) and for the trans isomer (antiperiplanar conformation). Amide groups can isomerize about the C'-N bond between the cis and trans forms, albeit slowly (20 seconds at room temperature). The transition states requires that the partial double bond be broken, so that the activation energy is roughly 80 kilojoule/mol (20 kcal/mol) (See Figure below). However, the activation energy can be lowered (and the isomerization catalyzed) by changes that favor the single-bonded form, such as placing the peptide group in a hydrophobic environment or donating a hydrogen bond to the nitrogen atom of an X-Pro peptide group. Both of these mechanisms for lowering the activation energy have been observed in peptidyl prolyl isomerases (PPIases), which are naturally occurring enzymes that catalyze the cis-trans isomerization of X-Pro peptide bonds.
Conformational protein folding is usually much faster (typically 10–100 ms) than cis-trans isomerization (10–100 s). A nonnative isomer of some peptide groups can disrupt the conformational folding significantly, either slowing it or preventing it from even occurring until the native isomer is reached. However, not all peptide groups have the same effect on folding; nonnative isomers of other peptide groups may not affect folding at all.
Chemical reactions
Due to its resonance stabilization, the peptide bond is relatively unreactive under physiological conditions, even less than similar compounds such as esters. Nevertheless, peptide bonds can undergo chemical reactions, usually through an attack of an electronegative atom on the carbonyl carbon, breaking the carbonyl double bond and forming a tetrahedral intermediate. This is the pathway followed in proteolysis and, more generally, in N-O acyl exchange reactions such as those of inteins. When the functional group attacking the peptide bond is a thiol, hydroxyl or amine, the resulting molecule may be called a cyclol or, more specifically, a thiacyclol, an oxacyclol or an azacyclol, respectively.
See also
References
- ↑ Walker, CBE FRSE, Peter M. B., ed. (1990) [1988]. Cambridge Dictionary of Science and Technology (reprint ed.). Edinburgh: Press Syndicate of the University of Cambridge. p. 658. ISBN 0521394414.
- ↑ Pauling L. (1960) The Nature of the Chemical Bond, 3rd. ed., Cornell University Press. ISBN 0-8014-0333-2
- ↑ Stein RL. (1993) "Mechanism of Enzymatic and Nonenzymatic Prolyl cis-trans Isomerization", Adv. Protein Chem., 44, 1–24.
- ↑ Schmid FX, Mayr LM, Mücke M and Schönbrunner ER. (1993) "Prolyl Isomerases: Role in Protein Folding", Adv. Protein Chem., 44, 25–66.
- ↑ Fischer G. (1993) "Peptidyl-Prolyl cis/trans Isomerases and Their Effectors", Angew. Chem. Int. Ed. Engl., 33, 1415–1436.
- ↑ Watson, James; Hopkins, Nancy; Roberts, Jeffrey; Agetsinger Steitz, Joan; Weiner, Alan (1987) [1965]. Molecualar Biology of the Gene (hardcover) (Fourth ed.). Menlo Park, CA: The Benjamin/Cummings Publishing Company, Inc. p. 168. ISBN 0805396144.
- ↑ Wu G, Fang YZ, Yang S, Lupton JR, Turner ND (March 2004). "Glutathione metabolism and its implications for health". The Journal of Nutrition. 134 (3): 489–92. PMID 14988435.
- ↑ Meister A (November 1988). "Glutathione metabolism and its selective modification". The Journal of Biological Chemistry. 263 (33): 17205–8. PMID 3053703.
- ↑ Martin RB. (1998) "Free energies and equilibria of peptide bond hydrolysis and formation", Biopolymers, 45, 351–353.
- ↑ Goldfarb AR et al. (1951) "The Ultraviolet Absorption Spectra of Proteins", J. Biological Chem., 193, 397–404.(http://www.jbc.org/content/193/1/397.long)