Reimer–Tiemann reaction
| Reimer-Tiemann reaction(RTR) | |
|---|---|
| Named after | Karl Reimer Ferdinand Tiemann |
| Reaction type | Addition reaction |
| Identifiers | |
| RSC ontology ID | RXNO:0000072 |
The Reimer–Tiemann reaction is a chemical reaction used for the ortho-formylation of phenols;[1][2][3][4][5] with the simplest example being the conversion of phenol to salicylaldehyde. The reaction was discovered by Karl Reimer[6] and Ferdinand Tiemann. The Reimer in question was Karl Reimer (1845-1883) not the less known Carl Ludwig Reimer (1856-1921).[7]

Reaction mechanism

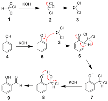
Chloroform (1) is deprotonated by strong base (normally hydroxide) to form the chloroform carbanion (2) which will quickly alpha-eliminate to give dichlorocarbene (3); this is the principal reactive species. The hydroxide will also deprotonate the phenol (4) to give a negatively charged phenoxide (5). The negative charge is delocalised into the aromatic ring, making it far more nucleophilic and increases its ortho selectivity. Nucelophilic attack of the dichlorocarbene from the ortho position gives an intermediate dichloromethyl substituted phenol (7). After basic hydrolysis, the desired product (9) is formed.
Reaction conditions
Hydroxides are not readily soluble in the chloroform, thus the reaction is generally carried out in a biphasic solvent system. In the simplest sense this consists of an aqueous hydroxide solution and an organic phase containing the chloroform. The two reagents are therefore separated and must be brought together for the reaction to take place. This can be achieved by rapid mixing, phase-transfer catalysts, or an emulsifying agent (the use of 1,4-Dioxane as a solvent is an example).
The reaction typically needs to be heated to initiate the process, however once started the Reimer-Tiemann Reaction can be highly exothermic; this combination makes it prone to thermal runaways.
Scope
Dichlorocarbenes can also react with alkenes and amines to form dichlorocyclopropanes and isocyanides, respectively. As such the Reimer-Tiemann reaction may be unsuitable for substrates bearing these functional groups. In addition, many compound can not withstand being heated in the presence of hydroxide.
Comparison to other methods
The direct formylation of aromatic compounds can be accomplished by various methods such as the Gattermann reaction, Gattermann–Koch reaction, Vilsmeier–Haack reaction, or Duff reaction; however, in terms of ease and safety of operations, the Reimer–Tiemann reaction is often the most advantageous route chosen in chemical synthesis. Of the prior mentioned reactions, the Reimer–Tiemann reaction is the only route not requiring acidic and/or anhydrous conditions.[3] Additionally the Gattermann-Koch and Vilsmeier–Haack reactions are not applicable to phenol substrates.
Variations
The Reimer–Tiemann reaction can be altered to yield phenolic acids by substituting the chloroform with carbon tetrachloride.[8] For instance, the altered reaction with phenol would yield salicylic acid rather than the expected product, salicylaldehyde.
References
- ↑ Reimer, K. and Tiemann, Ferd, K.; Tiemann, Ferd. (1876). "Ueber die Einwirkung von Chloroform auf Phenole und besonders aromatische Oxysäuren in alkalischer Lösung". Berichte der deutschen chemischen Gesellschaft. 9 (2): 1268–1278. doi:10.1002/cber.18760090270. Retrieved 3 January 2014.
- ↑ Wynberg, Hans (1960). "The Reimer-Tiemann Reaction". Chemical Reviews. 60 (2): 169–184. doi:10.1021/cr60204a003. Retrieved 3 January 2014.
- 1 2 Wynberg, Hans and Meijer, Egbert, Hans; Meijer, Egbert W. (2005). "The Reimer–Tiemann Reaction". Wiley Online Library: pg.14. doi:10.1002/0471264180.or028.01. ISBN 9780471264187. Retrieved 3 January 2014.
- ↑ Dauben, William G. (1982). Organic Reactions, Volume 28. Hoboken, NJ: Wiley-Interscience. p. 347. ISBN 978-0471861416.
- ↑ Wynberg, Hans (1991). "The Reimer–Tiemann Reaction". Comprehensive Organic Synthesis. 2 (Part 2): 769–775. doi:10.1016/B978-0-08-052349-1.00048-2. ISBN 978-0-08-052349-1. Retrieved 3 January 2014.
- ↑ Karl Reimer, Berichte der deutschen chemischen Gesellschaft 9, S. 423–424 (1876). -
- ↑ see "Karl Reimer Nachruf 1883.pdf" at Commons and text on page 101.
- ↑ Gaonkar, A.V.; Kirtany, J.K. (2010). "ChemInform Abstract: Reimer-Tiemann Reaction Using Carbon Tetrachloride". ChemInform. 22 (41): 1991. doi:10.1002/chin.199141092.