Methionine synthase
094079-001-01-A
| View/Edit Human | View/Edit Mouse |
Methionine synthase also known as MS, MeSe, MetH is responsible for the regeneration of methionine from homocysteine. In humans it is encoded by the MTR gene (5-methyltetrahydrofolate-homocysteine methyltransferase).[3][4] Methionine synthase forms part of the S-adenosylmethionine (SAMe) biosynthesis and regeneration cycle.[5] In animals this enzyme requires Vitamin B12 (cobalamin) as a cofactor, whereas the form found in plants is cobalamin-independent.[6] Microorganisms express both cobalamin-dependent and cobalamin-independent forms.[6]
Mechanism

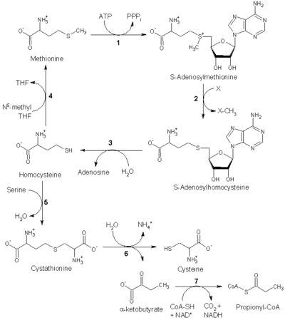
Methionine synthase catalyzes the final step in the regeneration of methionine(Met) from homocysteine(Hcy). The overall reaction transforms 5-methyltetrahydrofolate(N5-MeTHF) into tetrahydrofolate (THF) while transferring a methyl group to Hcy to form Met. Methionine synthase is the only mammalian enzyme that metabolizes N5-MeTHF to regenerate the active cofactor THF. In cobalamin-dependent forms of the enzyme, the reaction proceeds by two steps in a ping-pong reaction. The enzyme is initially primed into a reactive state by the transfer of a methyl group from N5-MeTHF to Co(I) in enzyme-bound cobalamin(Cob), forming methyl-cobalamin(Me-Cob) that now contains Me-Co(III) and activating the enzyme. Then, a Hcy that has coordinated to an enzyme-bound zinc to form a reactive thiolate reacts with the Me-Cob. The activated methyl group is transferred from Me-Cob to the Hcy thiolate, which regenerates Co(I) in cob, and Met is released from the enzyme. The cob-independent mechanism follows the same general pathway but with a direct reaction between the zinc thiolate and N5-MeTHF.[7][8]

The mechanism of the enzyme depends on the constant regeneration of Co(I) in cob, but this is not always guaranteed. Instead, every 1-2000 catalytic turnovers, the Co(I) may be oxidized into Co(II), which would permanently shut down catalytic activity. A separate protein, Methionine Synthase Reductase, catalyzes the regeneration of Co(I) and the restoration of enzymatic activity. Because the oxidation of cob-Co(I) inevitably shuts down cob-dependent methionine synthase activity, defects or deficiencies in methionine synthase reductase have been implicated in some of the disease associations for methionine synthase deficiency discussed below. The two enzymes form a scavenger network seen on the lower left.[9]
Structure

Crystal structures for both cob-independent and cob-dependent MetH have been solved, with little similarity in the overall structure despite the identical net reaction being performed by each and similarities within binding sites such as Hcy binding site.[10] Cob-dependent MetH is divided into 4 separate domains: Activation, Cobalamin-binding(Cob domain), Homocysteine binding(Hcy domain), and N 5-methylTHF binding(MeTHF domain). The activation domain is the site of interaction with Methionine Synthase Reductase and binds SAM that is used as part of the re-activation cycle of the enzyme. The Cob domain contains Cob sandwiched between several large alpha helices and bound to the enzyme so that the cobalt atom of the group is exposed for contact with other domains. The Hcy domain contains the critical zinc-binding site, made up of cysteine or histidine residues coordinated to a zinc ion that can bind Hcy, with an example from a non-Cob dependent MetH shown on the right. The N5-MeTHF binding domain contains a conserved barrel in which N5-MeTHF can hydrogen bond with asparagine, arginine, and aspartic acid residues. The entire structure undergoes a dramatic swinging motion during catalysis as the Cob domain moves back and forth from the Hcy domain to the Fol domain, transferring the active methyl group from the Fol to Hcy domain.[11]
Function

Methionine synthase's main purpose is to regenerate Met in the S-Adenosyl Methionine cycle, which in a single turnover consumes Met and ATP and generates Hcy. This cycle is critical because S-adenosyl methionine is used extensively in biology as a source of an active methyl group, and so methionine synthase serves an essential function by allowing the SAM cycle to perpetuate without a constant influx of Met. In this way, methionine synthase also serves to maintain low levels of Hcy and, because methionine synthase is one of the few enzymes that used N5-MeTHF as a substrate, to indirectly maintain THF levels.
In plants and microorganisms, methionine synthase serves a dual purpose of both perpetuating the SAM cycle and catalyzing the final synthetic step in the de novo synthesis of Met. While the reaction is exactly the same for both processes, the overall function is distinct from methionine synthase in humans because Met is an essential amino acid that is not synthesized de novo in the body.[12]
Clinical significance
Mutations in the MTR gene have been identified as the underlying cause of methylcobalamin deficiency complementation group G, or methylcobalamin deficiency cblG-type.[3] Deficiency or deregulation of the enzyme due to deficient methionine synthase reductase can directly result in elevated levels of homocysteine, which is associated with blindness, neurological symptoms, and birth defects. Most cases of methionine synthase deficiency are symptomatic within 2 years of birth with many patients rapidly developing severe encephalopathy.[13] The consequence of reduced methionine synthase activity is megaloblastic anemia.
Genetics
Several polymorphisms in the MTR gene have been identified.
- 2756D→G (Asp919Gly)
See also
- Methyltransferase
- Arakawa's syndrome II
- 5-Methyltetrahydrofolate (5-Me-THF, 5-Me-H4F, 5-MTHF)
- Betaine—homocysteine S-methyltransferase
References
- ↑ "Human PubMed Reference:".
- ↑ "Mouse PubMed Reference:".
- 1 2 "MTR 5-methyltetrahydrofolate-homocysteine methyltransferase (Homo sapiens)". Entrez. 19 May 2009. Retrieved 24 May 2009.
- ↑ Li YN, Gulati S, Baker PJ, Brody LC, Banerjee R, Kruger WD (December 1996). "Cloning, mapping and RNA analysis of the human methionine synthase gene". Human Molecular Genetics. 5 (12): 1851–8. doi:10.1093/hmg/5.12.1851. PMID 8968735.
- ↑ Banerjee RV, Matthews RG (March 1990). "Cobalamin-dependent methionine synthase". FASEB Journal. 4 (5): 1450–9. PMID 2407589.
- 1 2 Zydowsky, T. M. (1986). "Stereochemical analysis of the methyl transfer catalyzed by cobalamin-dependent methionine synthase from Escherichia coli B". Journal of the American Chemical Society. 108 (11): 3152–3153. doi:10.1021/ja00271a081.
- ↑ Zhang Z, Tian C, Zhou S, Wang W, Guo Y, Xia J, Liu Z, Wang B, Wang X, Golding BT, Griff RJ, Du Y, Liu J (December 2012). "Mechanism-based design, synthesis and biological studies of N⁵-substituted tetrahydrofolate analogs as inhibitors of cobalamin-dependent methionine synthase and potential anticancer agents". European Journal of Medicinal Chemistry. 58: 228–36. doi:10.1016/j.ejmech.2012.09.027. PMID 23124219.
- ↑ Matthews, R. G.; Smith, A. E.; Zhou, Z. S.; Taurog, R. E.; Bandarian, V.; Evans, J. C.; Ludwig, M. (2003). "Cobalamin-Dependent and Cobalamin-Independent Methionine Synthases: Are There Two Solutions to the Same Chemical Problem?". Helvetica Chimica Acta. 86 (12): 3939. doi:10.1002/hlca.200390329.
- ↑ Wolthers KR, Scrutton NS (June 2007). "Protein interactions in the human methionine synthase-methionine synthase reductase complex and implications for the mechanism of enzyme reactivation". Biochemistry. 46 (23): 6696–709. doi:10.1021/bi700339v. PMID 17477549.
- ↑ Pejchal R, Ludwig ML (February 2005). "Cobalamin-independent methionine synthase (MetE): a face-to-face double barrel that evolved by gene duplication". PLoS Biology. 3 (2): e31. doi:10.1371/journal.pbio.0030031. PMC 539065
. PMID 15630480. - ↑ Evans JC, Huddler DP, Hilgers MT, Romanchuk G, Matthews RG, Ludwig ML (March 2004). "Structures of the N-terminal modules imply large domain motions during catalysis by methionine synthase". Proceedings of the National Academy of Sciences of the United States of America. 101 (11): 3729–36. doi:10.1073/pnas.0308082100. PMC 374312
. PMID 14752199. - ↑ Hesse H, Hoefgen R (June 2003). "Molecular aspects of methionine biosynthesis". Trends in Plant Science. 8 (6): 259–62. doi:10.1016/S1360-1385(03)00107-9. PMID 12818659.
- ↑ Outteryck O, de Sèze J, Stojkovic T, Cuisset JM, Dobbelaere D, Delalande S, Lacour A, Cabaret M, Lepoutre AC, Deramecourt V, Zéphir H, Fowler B, Vermersch P (July 2012). "Methionine synthase deficiency: a rare cause of adult-onset leukoencephalopathy". Neurology. 79 (4): 386–8. doi:10.1212/WNL.0b013e318260451b. PMID 22786600.
Further reading
- Ludwig ML, Matthews RG (1997). "Structure-based perspectives on B12-dependent enzymes". Annual Review of Biochemistry. 66: 269–313. doi:10.1146/annurev.biochem.66.1.269. PMID 9242908.
- Matthews RG, Sheppard C, Goulding C (April 1998). "Methylenetetrahydrofolate reductase and methionine synthase: biochemistry and molecular biology". European Journal of Pediatrics. 157 Suppl 2: S54–9. doi:10.1007/PL00014305. PMID 9587027.
- Garovic-Kocic V, Rosenblatt DS (August 1992). "Methionine auxotrophy in inborn errors of cobalamin metabolism". Clinical and Investigative Medicine. Médecine Clinique et Experimentale. 15 (4): 395–400. PMID 1516297.
- O'Connor DL, Moriarty P, Picciano MF (1992). "The impact of iron deficiency on the flux of folates within the mammary gland". International Journal for Vitamin and Nutrition Research. Internationale Zeitschrift Für Vitamin- Und Ernährungsforschung. Journal International De Vitaminologie et De Nutrition. 62 (2): 173–80. PMID 1517041.
- Everman BW, Koblin DD (March 1992). "Aging, chronic administration of ethanol, and acute exposure to nitrous oxide: effects on vitamin B12 and folate status in rats". Mechanisms of Ageing and Development. 62 (3): 229–43. doi:10.1016/0047-6374(92)90109-Q. PMID 1583909.
- Vassiliadis A, Rosenblatt DS, Cooper BA, Bergeron JJ (August 1991). "Lysosomal cobalamin accumulation in fibroblasts from a patient with an inborn error of cobalamin metabolism (cblF complementation group): visualization by electron microscope radioautography". Experimental Cell Research. 195 (2): 295–302. doi:10.1016/0014-4827(91)90376-6. PMID 2070814.
- Li YN, Gulati S, Baker PJ, Brody LC, Banerjee R, Kruger WD (December 1996). "Cloning, mapping and RNA analysis of the human methionine synthase gene". Human Molecular Genetics. 5 (12): 1851–8. doi:10.1093/hmg/5.12.1851. PMID 8968735.
- Gulati S, Baker P, Li YN, Fowler B, Kruger W, Brody LC, Banerjee R (December 1996). "Defects in human methionine synthase in cblG patients". Human Molecular Genetics. 5 (12): 1859–65. doi:10.1093/hmg/5.12.1859. PMID 8968736.
- Leclerc D, Campeau E, Goyette P, Adjalla CE, Christensen B, Ross M, Eydoux P, Rosenblatt DS, Rozen R, Gravel RA (December 1996). "Human methionine synthase: cDNA cloning and identification of mutations in patients of the cblG complementation group of folate/cobalamin disorders". Human Molecular Genetics. 5 (12): 1867–74. doi:10.1093/hmg/5.12.1867. PMID 8968737.
- Chen LH, Liu ML, Hwang HY, Chen LS, Korenberg J, Shane B (February 1997). "Human methionine synthase. cDNA cloning, gene localization, and expression". The Journal of Biological Chemistry. 272 (6): 3628–34. doi:10.1074/jbc.272.6.3628. PMID 9013615.
- Wilson A, Leclerc D, Saberi F, Campeau E, Hwang HY, Shane B, Phillips JA, Rosenblatt DS, Gravel RA (August 1998). "Functionally null mutations in patients with the cblG-variant form of methionine synthase deficiency". American Journal of Human Genetics. 63 (2): 409–14. doi:10.1086/301976. PMC 1377317
. PMID 9683607. - Salomon O, Rosenberg N, Zivelin A, Steinberg DM, Kornbrot N, Dardik R, Inbal A, Seligsohn U (2002). "Methionine synthase A2756G and methylenetetrahydrofolate reductase A1298C polymorphisms are not risk factors for idiopathic venous thromboembolism". The Hematology Journal. 2 (1): 38–41. doi:10.1038/sj/thj/6200078 (inactive 2016-11-04). PMID 11920232.
- Watkins D, Ru M, Hwang HY, Kim CD, Murray A, Philip NS, Kim W, Legakis H, Wai T, Hilton JF, Ge B, Doré C, Hosack A, Wilson A, Gravel RA, Shane B, Hudson TJ, Rosenblatt DS (July 2002). "Hyperhomocysteinemia due to methionine synthase deficiency, cblG: structure of the MTR gene, genotype diversity, and recognition of a common mutation, P1173L". American Journal of Human Genetics. 71 (1): 143–53. doi:10.1086/341354. PMC 384971
. PMID 12068375. - De Marco P, Calevo MG, Moroni A, Arata L, Merello E, Finnell RH, Zhu H, Andreussi L, Cama A, Capra V (2002). "Study of MTHFR and MS polymorphisms as risk factors for NTD in the Italian population". Journal of Human Genetics. 47 (6): 319–24. doi:10.1007/s100380200043. PMID 12111380.
- Doolin MT, Barbaux S, McDonnell M, Hoess K, Whitehead AS, Mitchell LE (November 2002). "Maternal genetic effects, exerted by genes involved in homocysteine remethylation, influence the risk of spina bifida". American Journal of Human Genetics. 71 (5): 1222–6. doi:10.1086/344209. PMC 385102
. PMID 12375236. - Zhu H, Wicker NJ, Shaw GM, Lammer EJ, Hendricks K, Suarez L, Canfield M, Finnell RH (March 2003). "Homocysteine remethylation enzyme polymorphisms and increased risks for neural tube defects". Molecular Genetics and Metabolism. 78 (3): 216–21. doi:10.1016/S1096-7192(03)00008-8. PMID 12649067.
External links
- GeneReviews/NCBI/NIH/UW entry on Disorders of Intracellular Cobalamin Metabolism
- ENZYME: EC 2.1.1.13
- 5-Methyltetrahydrofolate-Homocysteine S-Methyltransferase at the US National Library of Medicine Medical Subject Headings (MeSH)


