Propizepine

Propizepine
Clinical data
Routes of
administration
Oral
ATC code none
Legal status
Legal status
  • ℞ (Prescription only)
Identifiers
CAS Number 10321-12-7
14559-79-6 (hydrochloride)
PubChem (CID) 112029
ChemSpider 100443
UNII 09B57945V9 YesY
ChEMBL CHEMBL2104749
ECHA InfoCard 100.030.629
Chemical and physical data
Formula C17H20N4O
Molar mass 296.37 g/mol

Propizepine (Depressin, Vagran) is a tricyclic antidepressant (TCA) used in France for the treatment of depression which was introduced in the 1970s.[1][2][3][4]

Synthesis

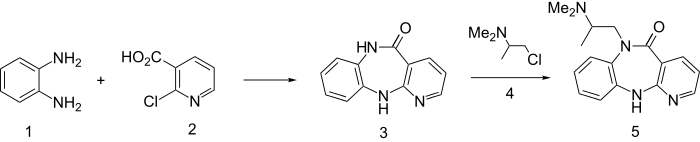
Propizepine synthesis:[5][6]

Condensation of 2-chloronicotinic acid (2) with o-phenylenediamine (1) leads directly to the tricyclic lactam (3) Although the reaction involves amide formation and nucleophilic aromatic displacement of chlorine, the order of these steps is not known. Alkylation of the anion obtained by treatment if 3 with the 1-chloro-2-dimethylaminopropane (4) affords the antidepressant compound propizepine (5).

The last step in this sequence there is considerable evidence that such alkylations often proceed via the aziridinium ion. Attack of the anion at the secondary or tertiary carbon of the aziridinium ring will lead to different products. Extensive investigation of this problem (eg Promethazine, ethopropazine, etc) has established that the product from attack at secondary carbon usually predominates.

What this intends to say is that even if the chloroamine used is actually 1-dimethylamino-2-chloro-propane, although could still be a mixture of products one still gets predominantly the same reaction product as above and not the "iso" product.

References

  1. Swiss Pharmaceutical Society (2000). Index Nominum 2000: International Drug Directory (Book with CD-ROM). Boca Raton: Medpharm Scientific Publishers. p. 888. ISBN 3-88763-075-0.
  2. David J. Triggle (1996). Dictionary of Pharmacological Agents. Boca Raton: Chapman & Hall/CRC. p. 1680. ISBN 0-412-46630-9.
  3. Niels F. Muller, Rudolf P. Dessing, European Society of Clinical Pharmacy (1997). European Drug Index, Volume 33. CRC Press. p. 1339. ISBN 3-7692-2114-1.
  4. Dereux JF (1976). "[Vagran 50: a situational antidepressant]". Semaine des Hôpitaux. Thérapeutique (in French). 52 (7-8): 385–8. PMID 996559.
  5. Hoffmann, C.; Faure, A.; Bull. Soc. Chim. Fr. 1966, 2316.
  6. NL 6600065 (1966 to Labs. U.P.S.A.)
This article is issued from Wikipedia - version of the 6/29/2016. The text is available under the Creative Commons Attribution/Share Alike but additional terms may apply for the media files.